conjupepdb_log

View Conjugates details

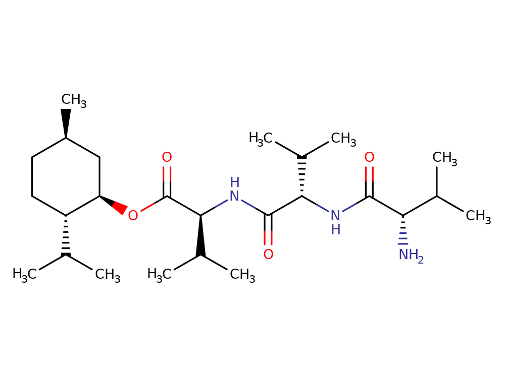
ConjuPepDB ID: cpd01337

Chemical structure


molecule
3D viewer Help Icon Use the buttons at the bottom of Jsmol viewer to see different representations, ON/OFF Hydrogens, and ON/OFF rotation.

3D model is for representation purpose only.

cpd01337


Schematic Help Icon Schematic representation of peptide, linker and drug in the peptide-drug conjugates
VVV (±)-Menthol
Identification
ConjuPepDB ID

cpd01337

Smiles
Inchi Key

InChIKey=YYLLQRUFBUUWKC-UHFFFAOYSA-N

Molecular weight

453.357

Molecular formula

C25H47N3O4

Chemical name
Peptide information
Sequence (one letter)

VVV

Length

3

Peptide name

oligovalin

External ID
CAS number

854031-11-1

Other information
Application

Synthesis

Pharmacological class

other

Conjugate type

ester

Linker

no

Small molecule

(±)-Menthol

Small molecule CAS

89-78-1

Structure method

ESI-MS/MS

Calculated properties
LogP

4.33948

Rotatable bonds

11

H bond donor

3

H bond acceptor

4

Polar surface area (PSA)

110.52000

Citations
ID Title Year Authors Journal DOI

cpdart0205

One pot conjugation of the polypeptides directed by phosphorus oxychloride

2005

Zhou, N.; Liu, Y.; Zhou, G. J.; Zhao, Y. F.

Journal of Peptide Research

..