conjupepdb_log

View Conjugates details

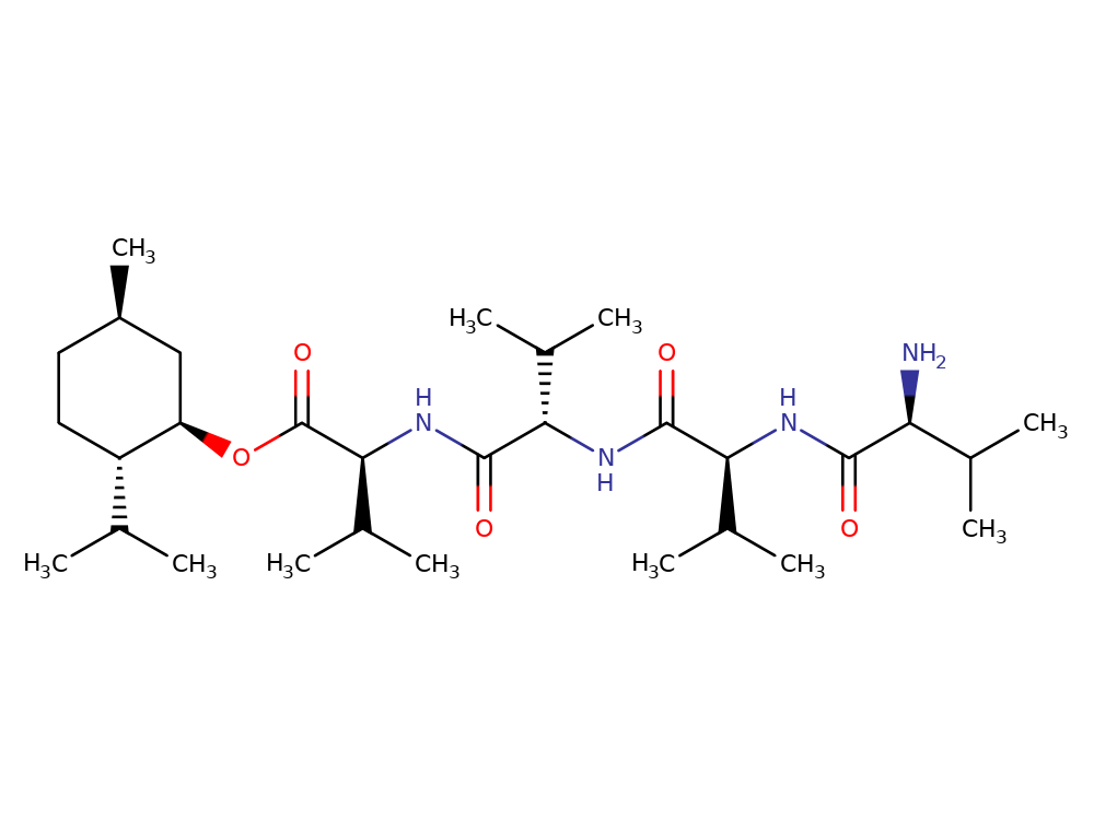
ConjuPepDB ID: cpd01336

Chemical structure


molecule
3D viewer Help Icon Use the buttons at the bottom of Jsmol viewer to see different representations, ON/OFF Hydrogens, and ON/OFF rotation.

3D model is for representation purpose only.

cpd01336


Schematic Help Icon Schematic representation of peptide, linker and drug in the peptide-drug conjugates
VVVV (±)-Menthol
Identification
ConjuPepDB ID

cpd01336

Smiles
Inchi Key

InChIKey=CILLOYNDGIZZCD-UHFFFAOYSA-N

Molecular weight

552.425

Molecular formula

C30H56N4O5

Chemical name
Peptide information
Sequence (one letter)

VVVV

Length

4

Peptide name

oligovalin

External ID
CAS number

854031-13-3

Other information
Application

Synthesis

Pharmacological class

other

Conjugate type

ester

Linker

no

Small molecule

(±)-Menthol

Small molecule CAS

89-78-1

Structure method

ESI-MS/MS

Calculated properties
LogP

4.69046

Rotatable bonds

14

H bond donor

4

H bond acceptor

5

Polar surface area (PSA)

139.62000

Citations
ID Title Year Authors Journal DOI

cpdart0205

One pot conjugation of the polypeptides directed by phosphorus oxychloride

2005

Zhou, N.; Liu, Y.; Zhou, G. J.; Zhao, Y. F.

Journal of Peptide Research

..