conjupepdb_log

View Conjugates details

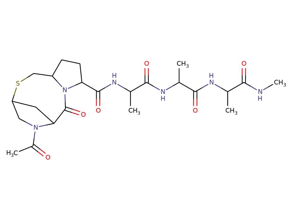
ConjuPepDB ID: cpd01639

Chemical structure


molecule
3D viewer Help Icon Use the buttons at the bottom of Jsmol viewer to see different representations, ON/OFF Hydrogens, and ON/OFF rotation.

3D model is for representation purpose only.

cpd01639


Schematic Help Icon Schematic representation of peptide, linker and drug in the peptide-drug conjugates
PPAAA [3S-(3α,5α,9β,11aβ)]-5-acetyloctahydro-7-oxo-3,6-Methano-1H,3H-pyrrolo[2,1-c][1,4,7]thiadiazonine-9-carboxylic acid
Identification
ConjuPepDB ID

cpd01639

Smiles
Inchi Key

InChIKey=KEMNRTVTCONFHN-UHFFFAOYNA-N

Molecular weight

524.242

Molecular formula

C23H36N6O6S

Chemical name
Peptide information
Sequence (one letter)

PPAAA

Length

5

Peptide name

diprolyl-oligoalanin

External ID
CAS number

136088-75-0

Other information
Application

Synthesis

Additional function

Conformational analysis

Pharmacological class

other

Conjugate type

amide

Linker

no

Small molecule

[3S-(3α,5α,9β,11aβ)]-5-acetyloctahydro-7-oxo-3,6-Methano-1H,3H-pyrrolo[2,1-c][1,4,7]thiadiazonine-9-carboxylic acid

Small molecule CAS

120980-87-2

Structure method

1H-NMR, HPLC

NMR solvent

CD3OD, CD3CN

Calculated properties
LogP

-3.00637

Rotatable bonds

7

H bond donor

4

H bond acceptor

6

Polar surface area (PSA)

157.02000

Citations
ID Title Year Authors Journal DOI

cpdart0251

Studies of N-terminal templates for α-helix formation. Synthesis and conformational analysis of peptide conjugates of (2S,5S,8S,11S)-1-acetyl-1,4-diaza-3-keto-5-carboxy-10-thiatricyclo[2.8.1.04,8]tridecane (Ac-Hel1-OH)

1991

Kemp, D. S.; Curran, Timothy P.; Boyd, James G.; Allen, Thomas J.

Journal of Organic Chemistry

..