conjupepdb_log

View Conjugates details

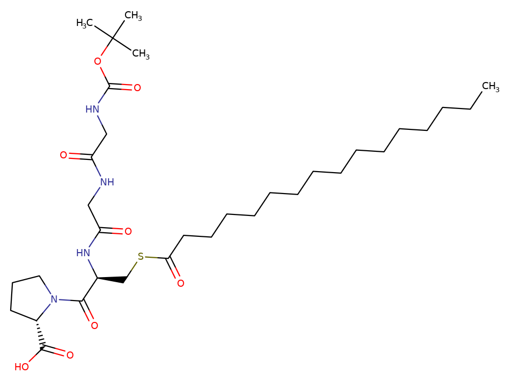
ConjuPepDB ID: cpd01581

Chemical structure


molecule
3D viewer Help Icon Use the buttons at the bottom of Jsmol viewer to see different representations, ON/OFF Hydrogens, and ON/OFF rotation.

3D model is for representation purpose only.

cpd01581


Schematic Help Icon Schematic representation of peptide, linker and drug in the peptide-drug conjugates
GGCP Palmitic acid
Identification
ConjuPepDB ID

cpd01581

Smiles
Inchi Key

InChIKey=UUUQVPWGEROXHH-UHFFFAOYSA-N

Molecular weight

670.398

Molecular formula

C33H58N4O8S

Chemical name
Peptide information
Sequence (one letter)

GGCP

Length

4

Peptide name

tetrapeptide

External ID
CAS number

207398-63-8

Other information
Application

Synthesis

Additional function

Possible applications for the synthesis of functionalized lipidated peptides carrying e.g. fuorescent labels or biotin units

Pharmacological class

other

Conjugate type

tioester

Linker

no

Small molecule

Palmitic acid

Small molecule CAS

57-10-3

Small molecule structure

Structure method

1H- and 13C NMR

NMR solvent

CDCl3

Calculated properties
LogP

4.80805

Rotatable bonds

26

H bond donor

4

H bond acceptor

7

Polar surface area (PSA)

171.21000

Citations
ID Title Year Authors Journal DOI

cpdart0244

Synthesis of the palmitoylated and prenylated C-terminal lipopeptides of the human R- and N-Ras proteins

1999

Schmittberger, T.; Waldmann, H.

Bioorganic & Medicinal Chemistry

..