conjupepdb_log

View Conjugates details

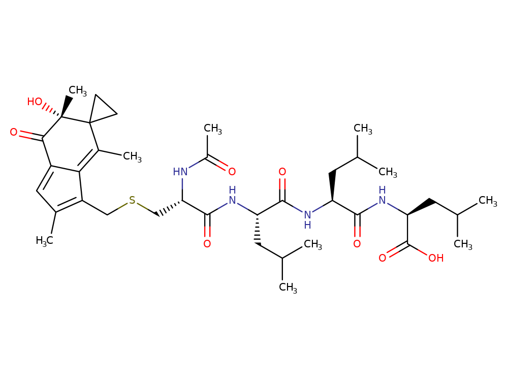
ConjuPepDB ID: cpd01544

Chemical structure


molecule
3D viewer Help Icon Use the buttons at the bottom of Jsmol viewer to see different representations, ON/OFF Hydrogens, and ON/OFF rotation.

3D model is for representation purpose only.

cpd01544


Schematic Help Icon Schematic representation of peptide, linker and drug in the peptide-drug conjugates
CLLL Irofulven derivative
Identification
ConjuPepDB ID

cpd01544

Smiles
Inchi Key

InChIKey=MTIZCUWNLDBFAH-UHFFFAOYSA-N

Molecular weight

730.398

Molecular formula

C38H58N4O8S

Chemical name
Peptide information
Sequence (one letter)

CLLL

Length

4

Peptide name

tetrapeptide

External ID
CAS number

303956-67-4

Other information
Application

Anticancer therapy, alkylating agent

Additional function

Improve selectivity and decrase toxicity

Pharmacological class

anticancer

Conjugate type

sulfide

Linker

no

Small molecule

Irofulven derivative

Small molecule CAS

158440-71-2

Structure method

1H and 13C NMR

NMR solvent

CD3OD

Calculated properties
LogP

2.91546

Rotatable bonds

18

H bond donor

6

H bond acceptor

8

Polar surface area (PSA)

191.00000

Citations
ID Title Year Authors Journal DOI

cpdart0239

Preparation and biological activity of amino acid and peptide conjugates of antitumor hydroxymethylacylfulvene

2000

McMorris, Trevor C.; Yu, Jian; Ngo, Huan-Tony; Wang, Haixia; Kelner, Michael J.

Journal of Medicinal Chemistry

..