conjupepdb_log

View Conjugates details

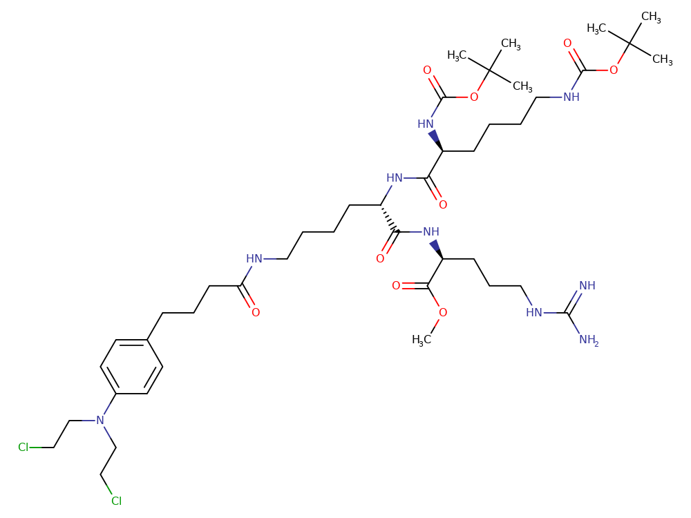
ConjuPepDB ID: cpd01509

Chemical structure


molecule
3D viewer Help Icon Use the buttons at the bottom of Jsmol viewer to see different representations, ON/OFF Hydrogens, and ON/OFF rotation.

3D model is for representation purpose only.

cpd01509


Schematic Help Icon Schematic representation of peptide, linker and drug in the peptide-drug conjugates
KKR Chlorambucil
Identification
ConjuPepDB ID

cpd01509

Smiles
Molecular weight

929.491

Molecular formula

C43H73Cl2N9O9

Chemical name
Peptide information
Sequence (one letter)

KKR

Length

3

Peptide name

tripeptide

External ID
CAS number

313673-71-1

Other information
Application

Anticancer therapy

Additional function

Targeting, pulmonary and epidermoid cell lines

Pharmacological class

anticancer

Conjugate type

amide

Linker

no

Small molecule

Chlorambucil

Small molecule CAS

0305-03-03

Calculated properties
LogP

3.85338

Rotatable bonds

34

H bond donor

8

H bond acceptor

10

Polar surface area (PSA)

255.40000

Citations
ID Title Year Authors Journal DOI

cpdart0234

Preparative Biochemistry & Biotechnology

2001

Song, Y. F.; Yang, P.

Preparative Biochemistry & Biotechnology

..