conjupepdb_log

View Conjugates details

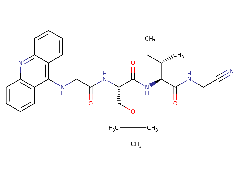
ConjuPepDB ID: cpd01223

Chemical structure


molecule
3D viewer Help Icon Use the buttons at the bottom of Jsmol viewer to see different representations, ON/OFF Hydrogens, and ON/OFF rotation.

3D model is for representation purpose only.

cpd01223


Schematic Help Icon Schematic representation of peptide, linker and drug in the peptide-drug conjugates
GSI 9-Aminoacridine
Identification
ConjuPepDB ID

cpd01223

Smiles
Inchi Key

InChIKey=PCYIKEOOYJMOEQ-UHFFFAOYSA-N

Molecular weight

546.295

Molecular formula

C30H38N6O4

Chemical name
Peptide information
Sequence (one letter)

GSI

Length

3

Peptide name

tripeptide

External ID
CAS number

920746-46-9

Other information
Application

Investigation of acridine–peptide conjugates

Additional function

prion binding affinity

Pharmacological class

other

Conjugate type

amide

Linker

no

Small molecule

9-Aminoacridine

Small molecule CAS

90-45-9

Structure method

1H NMR, HPLC

NMR solvent

DMSO-d6

Calculated properties
LogP

2.31886

Rotatable bonds

13

H bond donor

4

H bond acceptor

7

Polar surface area (PSA)

145.24000

Citations
ID Title Year Authors Journal DOI

cpdart0186

Acridin-9-yl exchange: a proposal for the action of some 9-aminoacridine drugs

2006

Sebestik, Jaroslav; Safarik, Martin; Stibor, Ivan; Hlavacek, Jan

Biopolymers

..