conjupepdb_log

View Conjugates details

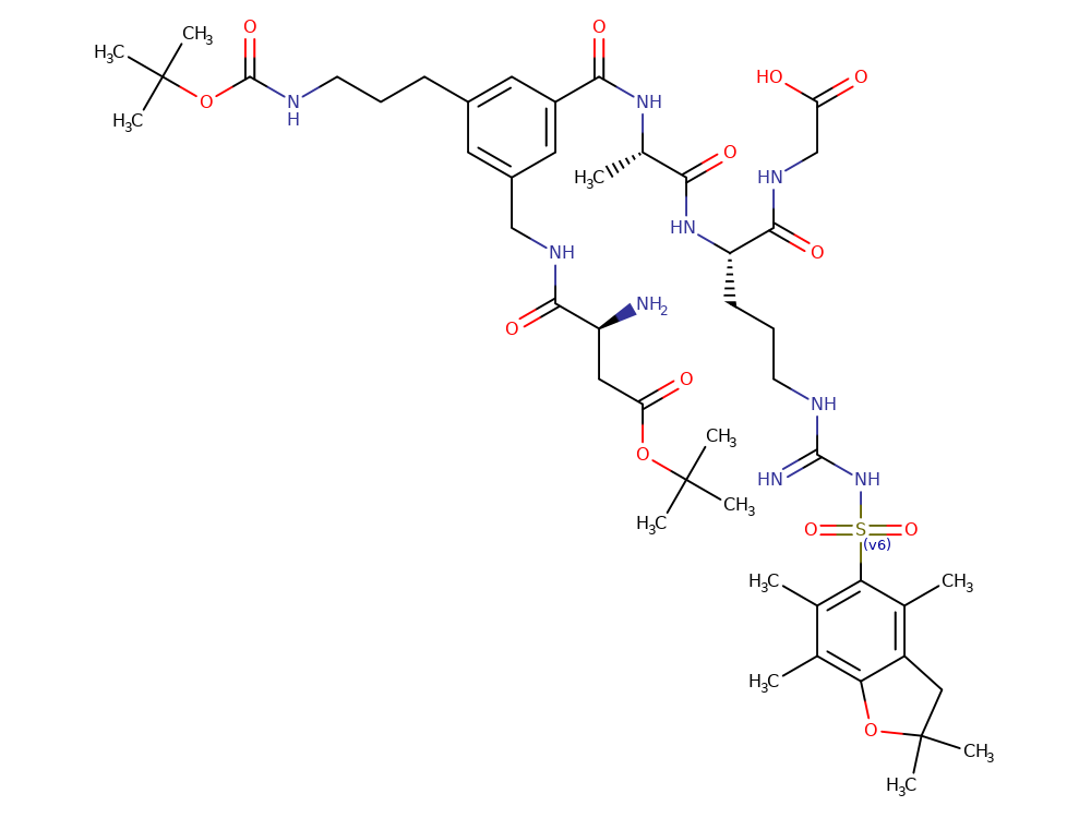
ConjuPepDB ID: cpd01194

Chemical structure


molecule
3D viewer Help Icon Use the buttons at the bottom of Jsmol viewer to see different representations, ON/OFF Hydrogens, and ON/OFF rotation.

3D model is for representation purpose only.

cpd01194


Schematic Help Icon Schematic representation of peptide, linker and drug in the peptide-drug conjugates
DXAXG 2,3-Dihydro-2,2,4,6,7-pentamethyl-5-benzofuransulfonic acid
Identification
ConjuPepDB ID

cpd01194

Smiles
Molecular weight

1015.5

Molecular formula

C48H73N9O13S

Chemical name
Peptide information
Sequence (one letter)

DXAXG

Length

5

Peptide name

N/A

External ID
CAS number

1007310-23-7

Other information
Application

Anticancer therapy, cell adhesion

Additional function

Targeting integrin

Pharmacological class

anticancer

Conjugate type

sulfonamide

Linker

no

Small molecule

2,3-Dihydro-2,2,4,6,7-pentamethyl-5-benzofuransulfonic acid

Small molecule CAS

1430820-46-4

Structure method

1H-NMR, HPLC

NMR solvent

CDCl3

Calculated properties
LogP

0.39546

Rotatable bonds

25

H bond donor

10

H bond acceptor

14

Polar surface area (PSA)

335.63000

Citations
ID Title Year Authors Journal DOI

cpdart0184

Bifunctional ligands that target cells displaying the αvβ3 integrin

2007

Owen, Robert M.; Carlson, Coby B.; Xu, Jinwang; Mowery, Patricia; Fasella, Elisabetta; Kiessling, Laura L.

ChemBioChem

..