conjupepdb_log

View Conjugates details

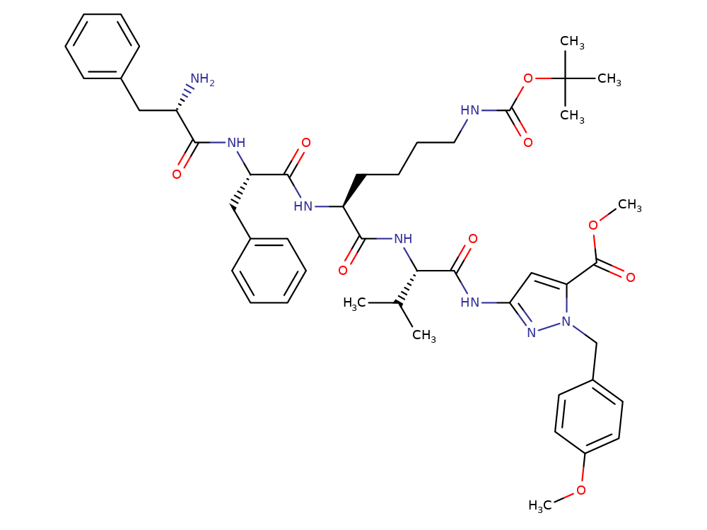
ConjuPepDB ID: cpd01156

Chemical structure


molecule
3D viewer Help Icon Use the buttons at the bottom of Jsmol viewer to see different representations, ON/OFF Hydrogens, and ON/OFF rotation.

3D model is for representation purpose only.

cpd01156


Schematic Help Icon Schematic representation of peptide, linker and drug in the peptide-drug conjugates
FFKV 1H-Pyrazole-5-carboxylic acid, 3-amino-1-[(4-methoxyphenyl)methyl]-methyl ester
Identification
ConjuPepDB ID

cpd01156

Smiles
Molecular weight

882.464

Molecular formula

C47H62N8O9

Chemical name
Peptide information
Sequence (one letter)

FFKV

Length

4

Peptide name

tetrapeptide

External ID
CAS number

940964-38-5

Other information
Application

Diagnosis, fluorescence label

Additional function

Alzheimer's disease therapy

Pharmacological class

neurological

Conjugate type

amide

Linker

no

Small molecule

1H-Pyrazole-5-carboxylic acid, 3-amino-1-[(4-methoxyphenyl)methyl]-methyl ester

Small molecule CAS

625386-12-1

Structure method

1H NMR HPLC-MS

NMR solvent

CDCl3

Calculated properties
LogP

5.31898

Rotatable bonds

25

H bond donor

6

H bond acceptor

9

Polar surface area (PSA)

234.10000

Citations
ID Title Year Authors Journal DOI

cpdart0179

Synthesis and Binding Studies of Alzheimer Ligands on Solid Support

2007

Rzepecki, Petra; Geib, Nina; Peifer, Manuel; Biesemeier, Frank; Schrader, Thomas

Journal of Organic Chemistry

..