conjupepdb_log

View Conjugates details

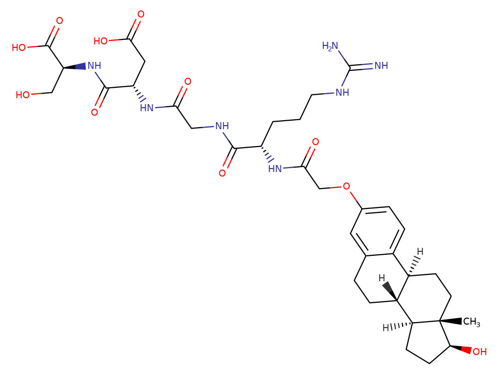
ConjuPepDB ID: cpd01147

Chemical structure


molecule
3D viewer Help Icon Use the buttons at the bottom of Jsmol viewer to see different representations, ON/OFF Hydrogens, and ON/OFF rotation.

3D model is for representation purpose only.

cpd01147


Schematic Help Icon Schematic representation of peptide, linker and drug in the peptide-drug conjugates
RGDS Estradiol-3-carboxymethyl ether
Identification
ConjuPepDB ID

cpd01147

Smiles
Molecular weight

745.365

Molecular formula

C35H51N7O11

Chemical name
Peptide information
Sequence (one letter)

RGDS

Length

4

Peptide name

tetrapeptide

External ID
CAS number

906673-92-5

Other information
Application

Osteoporosis therapy, estrogen replacement

Additional function

improved potency and reduced side effects

Pharmacological class

other

Conjugate type

amide

Linker

no

Small molecule

Estradiol-3-carboxymethyl ether

Small molecule CAS

41164-36-7

Structure method

1H NMR

NMR solvent

DMSO-d12

Calculated properties
LogP

-3.83219

Rotatable bonds

18

H bond donor

11

H bond acceptor

14

Polar surface area (PSA)

302.59000

Citations
ID Title Year Authors Journal DOI

cpdart0177

Improved anti-osteoporosis potency and reduced endometrial membrane hyperplasia during hormone replacement therapy with estrogen-RGD peptide conjugates

2007

Xiong, Yu; Zhao, Ming; Wang, Chao; Chang, Heng Wei; Peng, Shiqi

Journal of Medicinal Chemistry

..