conjupepdb_log

View Conjugates details

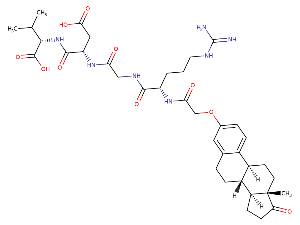
ConjuPepDB ID: cpd01143

Chemical structure


molecule
3D viewer Help Icon Use the buttons at the bottom of Jsmol viewer to see different representations, ON/OFF Hydrogens, and ON/OFF rotation.

3D model is for representation purpose only.

cpd01143


Schematic Help Icon Schematic representation of peptide, linker and drug in the peptide-drug conjugates
RGDV Estradiol-3-carboxymethyl ether
Identification
ConjuPepDB ID

cpd01143

Smiles
Molecular weight

755.385

Molecular formula

C37H53N7O10

Chemical name
Peptide information
Sequence (one letter)

RGDV

Length

4

Peptide name

tetrapeptide

External ID
CAS number

906674-60-0

Other information
Application

Osteoporosis therapy, estrogen replacement

Additional function

improved potency and reduced side effects

Pharmacological class

other

Conjugate type

amide

Linker

no

Small molecule

Estradiol-3-carboxymethyl ether

Small molecule CAS

41164-36-7

Structure method

1H NMR

NMR solvent

DMSO-d8

Calculated properties
LogP

-1.38817

Rotatable bonds

18

H bond donor

9

H bond acceptor

13

Polar surface area (PSA)

279.20000

Citations
ID Title Year Authors Journal DOI

cpdart0177

Improved anti-osteoporosis potency and reduced endometrial membrane hyperplasia during hormone replacement therapy with estrogen-RGD peptide conjugates

2007

Xiong, Yu; Zhao, Ming; Wang, Chao; Chang, Heng Wei; Peng, Shiqi

Journal of Medicinal Chemistry

..