conjupepdb_log

View Conjugates details

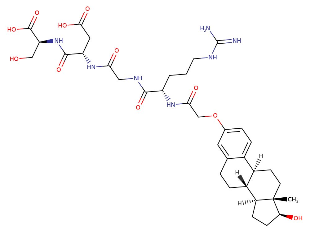
ConjuPepDB ID: cpd01027

Chemical structure


molecule
3D viewer Help Icon Use the buttons at the bottom of Jsmol viewer to see different representations, ON/OFF Hydrogens, and ON/OFF rotation.

3D model is for representation purpose only.

cpd01027


Schematic Help Icon Schematic representation of peptide, linker and drug in the peptide-drug conjugates
RGDS glycolic acid Estradiol
Identification
ConjuPepDB ID

cpd01027

Smiles
Molecular weight

745.365

Molecular formula

C35H51N7O11

Chemical name
Peptide information
Sequence (one letter)

RGDS

Length

4

Peptide name

tetrapeptide

External ID
CAS number

906673-92-5

Other information
Application

Osteoporosis therapy

Additional function

Increasing oral potency and decrassing side effect

Pharmacological class

other

Conjugate type

amide

Linker

N/A

Linker Type

glycolic acid

Small molecule

Estradiol

Small molecule CAS

50-28-2

Small molecule structure

Calculated properties
LogP

-3.83219

Rotatable bonds

18

H bond donor

11

H bond acceptor

14

Polar surface area (PSA)

302.59000

Citations
ID Title Year Authors Journal DOI

cpdart0152

3D QSAR of novel estrogen-RGD peptide conjugates: Getting insight into structural dependence of anti-osteoporosis activity and side effect of estrogen in ERT

2009

Zhao, Ming; Liu, Jiangyuan; Zhang, Xiaoyi; Peng, Li; Li, Chunyu; Peng, Shiqi

Bioorganic & Medicinal Chemistry

..