conjupepdb_log

View Conjugates details

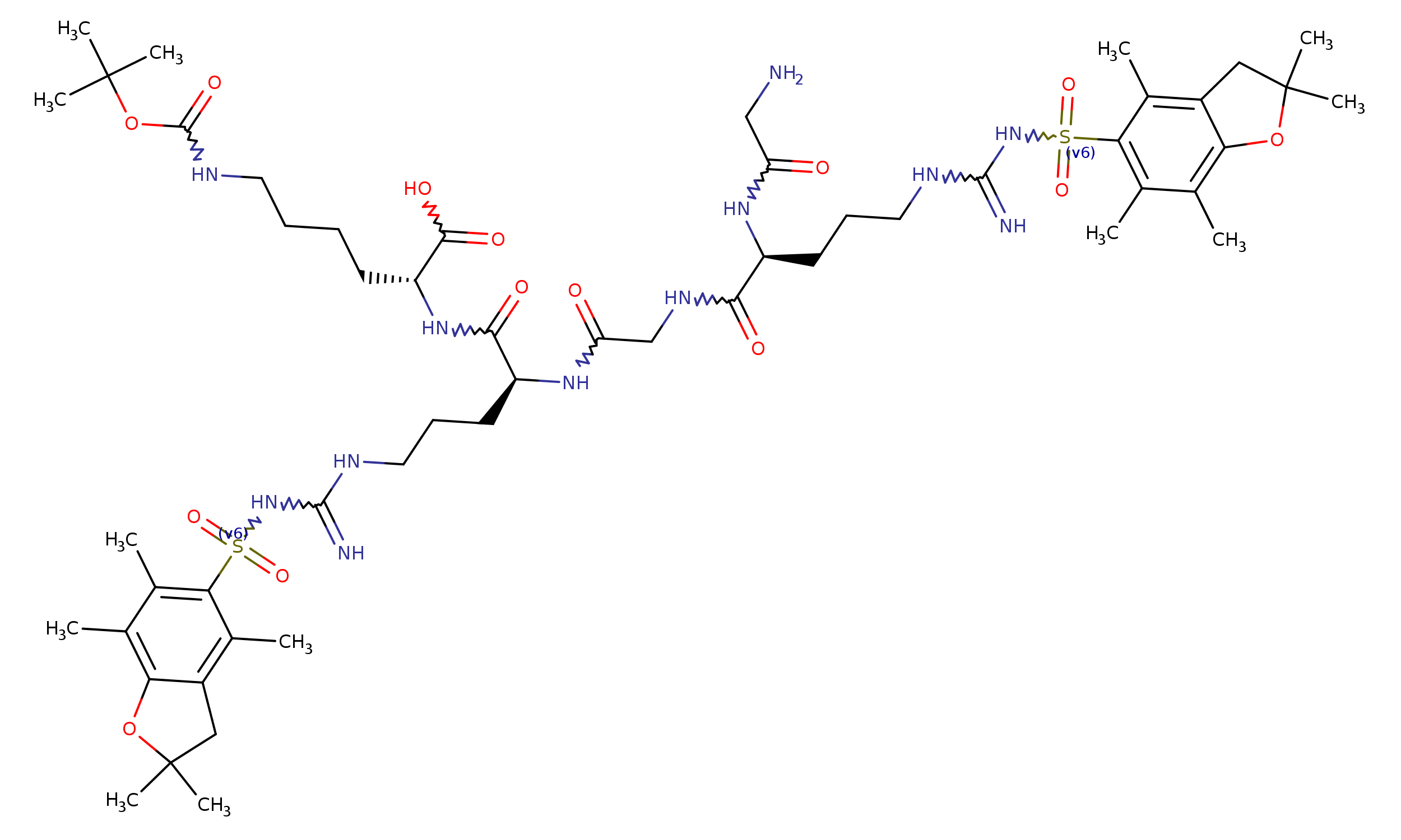
ConjuPepDB ID: cpd00944

Chemical structure


molecule
3D viewer Help Icon Use the buttons at the bottom of Jsmol viewer to see different representations, ON/OFF Hydrogens, and ON/OFF rotation.

3D model is for representation purpose only.

cpd00944


Schematic Help Icon Schematic representation of peptide, linker and drug in the peptide-drug conjugates
GRGRK 2,3-Dihydro-2,2,4,6,7-pentamethyl-5-benzofuransulfonamide
Identification
ConjuPepDB ID

cpd00944

Smiles
Inchi Key

InChIKey=GBTRTBSUTMHCLK-XEZIGOATSA-N

Molecular weight

1176.57

Molecular formula

C53H84N12O14S2

Chemical name
Peptide information
Sequence (one letter)

GRGRK

Length

5

Peptide name

Glu-AQ

External ID
CAS number

1239603-97-4

Other information
Application

Synthesis and DNA nuclease activity

Additional function

DNA cleavage, metal-free

Conjugate type

sulfonamide

Linker

no

Small molecule

2,3-Dihydro-2,2,4,6,7-pentamethyl-5-benzofuransulfonamide

Small molecule CAS

378230-81-0

Small molecule structure

Calculated properties
LogP

0.43291

Rotatable bonds

26

H bond donor

11

H bond acceptor

18

Polar surface area (PSA)

405.61000

Citations
ID Title Year Authors Journal DOI

Cpdart0136

A Metal-Free DNA Nuclease Based on a Cyclic Peptide Scaffold

2010

Alkhader, Shadad; Ezra, Aviva; Kasparkova, Jana; Brabec, Viktor; Yavin, Eylon

Bioconjugate Chemistry

..