conjupepdb_log

View Conjugates details

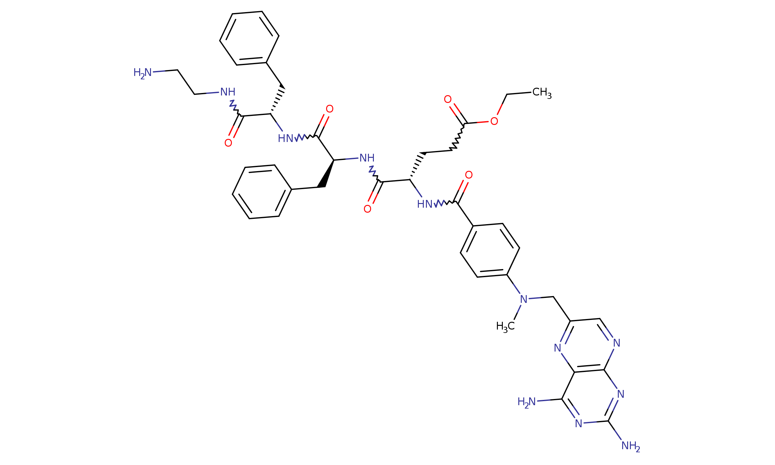
ConjuPepDB ID: cpd00857

Chemical structure


molecule
3D viewer Help Icon Use the buttons at the bottom of Jsmol viewer to see different representations, ON/OFF Hydrogens, and ON/OFF rotation.

3D model is for representation purpose only.

cpd00857


Schematic Help Icon Schematic representation of peptide, linker and drug in the peptide-drug conjugates
XEFF Methotrexate
Identification
ConjuPepDB ID

cpd00857

Smiles
Inchi Key

InChIKey=GBOKFSBRBREOEO-ZDCRTTOTSA-N

Molecular weight

818.398

Molecular formula

C42H50N12O6

Chemical name
Peptide information
Sequence (one letter)

XEFF

Length

4

Peptide name

tripeptide

External ID
CAS number

1218772-57-6

Other information
Application

Anti-inflamatory therapy, osteoarthritis

Conjugate type

amide

Linker

no

Small molecule

Methotrexate

Small molecule CAS

59-05-2

Small molecule structure

Structure method

1H-NMR

NMR solvent

DMSO-d6

Calculated properties
LogP

1.35993

Rotatable bonds

21

H bond donor

7

H bond acceptor

13

Polar surface area (PSA)

275.56000

Citations
ID Title Year Authors Journal DOI

Cpdart0123

Synthesis and optimization of hyaluronic acid-methotrexate conjugates to maximize benefit in the treatment of osteoarthritis

2010

Homma, Akie; Sato, Haruhiko; Tamura, Tatsuya; Okamachi, Akira; Emura, Takashi; Ishizawa, Takenori; Kato, Tatsuya; Matsuura, Tetsu; Sato, Shigeo; Higuchi, Yoshinobu; Watanabe, Tomoyuki; Kitamura, Hidetomo; Asanuma, Kentaro; Yamazaki, Tadao; Ikemi, Masahisa; Kitagawa, Hironoshin; Morikawa, Tadashi; Ikeya, Hitoshi; Maeda, Kazuaki; Takahashi, Koichi; Nohmi, Kenji; Izutani, Noriyuki; Kanda, Makoto; Suzuki, Ryohchi

Bioorganic & Medicinal Chemistry

..