conjupepdb_log

View Conjugates details

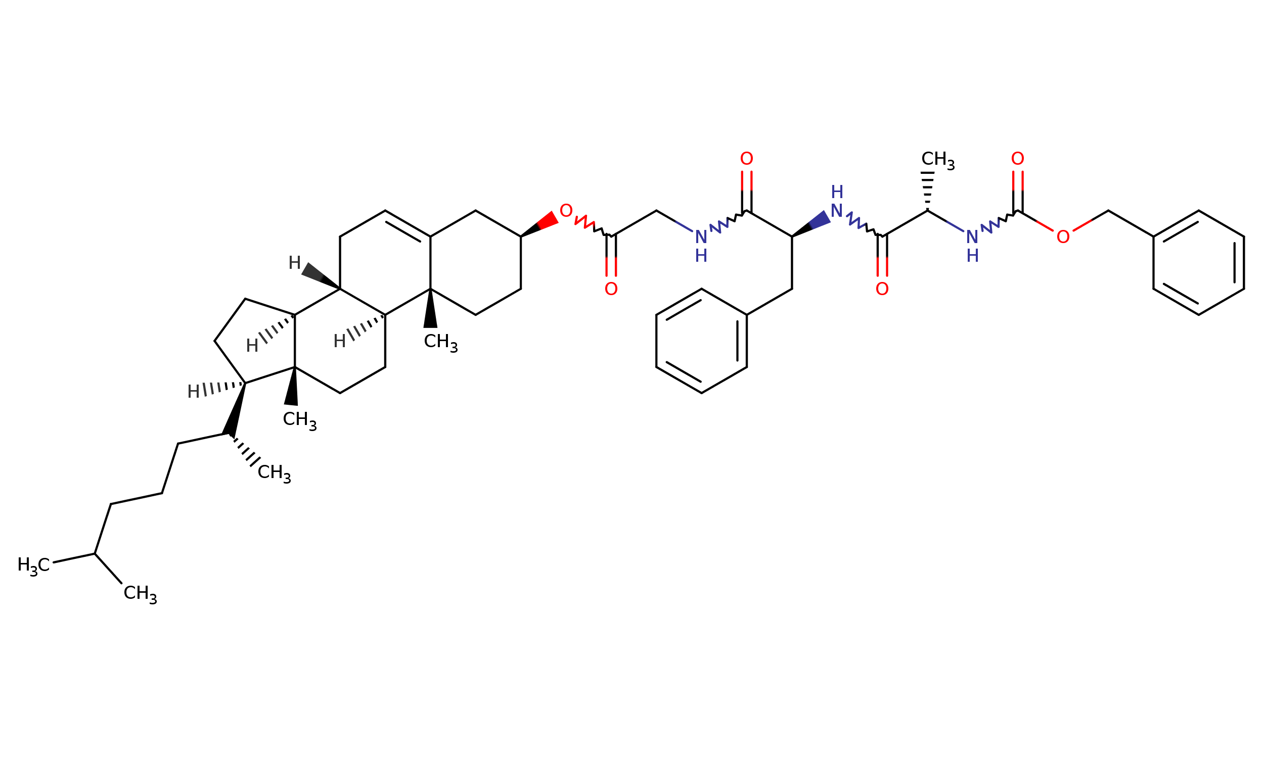
ConjuPepDB ID: cpd00699

Chemical structure


molecule
3D viewer Help Icon Use the buttons at the bottom of Jsmol viewer to see different representations, ON/OFF Hydrogens, and ON/OFF rotation.

3D model is for representation purpose only.

cpd00699


Schematic Help Icon Schematic representation of peptide, linker and drug in the peptide-drug conjugates
XAFGX Estrone
Identification
ConjuPepDB ID

cpd00699

Smiles
Inchi Key

InChIKey=QCMLULFUINTCSC-NKKPOQRTSA-N

Molecular weight

795.519

Molecular formula

C49H69N3O6

Chemical name
Peptide information
Sequence (one letter)

XAFGX

Length

5

Peptide name

tetrapeptide

External ID
CAS number

1384583-95-2

Other information
Application

Synthesis

Additional function

Potential applications in cell growth regulation, immune responses, intercellular targeting in cancer, and inflammation

Conjugate type

ester

Linker

no

Small molecule

Estrone

Small molecule CAS

582-52-5

Small molecule structure

Structure method

1H- and 13C-NMR

NMR solvent

CDCl3, (CD3)CO or DMSO-d6

Calculated properties
LogP

9.37578

Rotatable bonds

18

H bond donor

3

H bond acceptor

4

Polar surface area (PSA)

122.83000

Citations
ID Title Year Authors Journal DOI

Cpdart0109

Syntheses of chiral N-(protected) tri- and tetrapeptide conjugates

2012

Bajaj, Kiran; Panda, Siva S.; El-Nachef, Claudia; Katritzky, Alan R.

Chemical Biology & Drug Design

..