conjupepdb_log

View Conjugates details

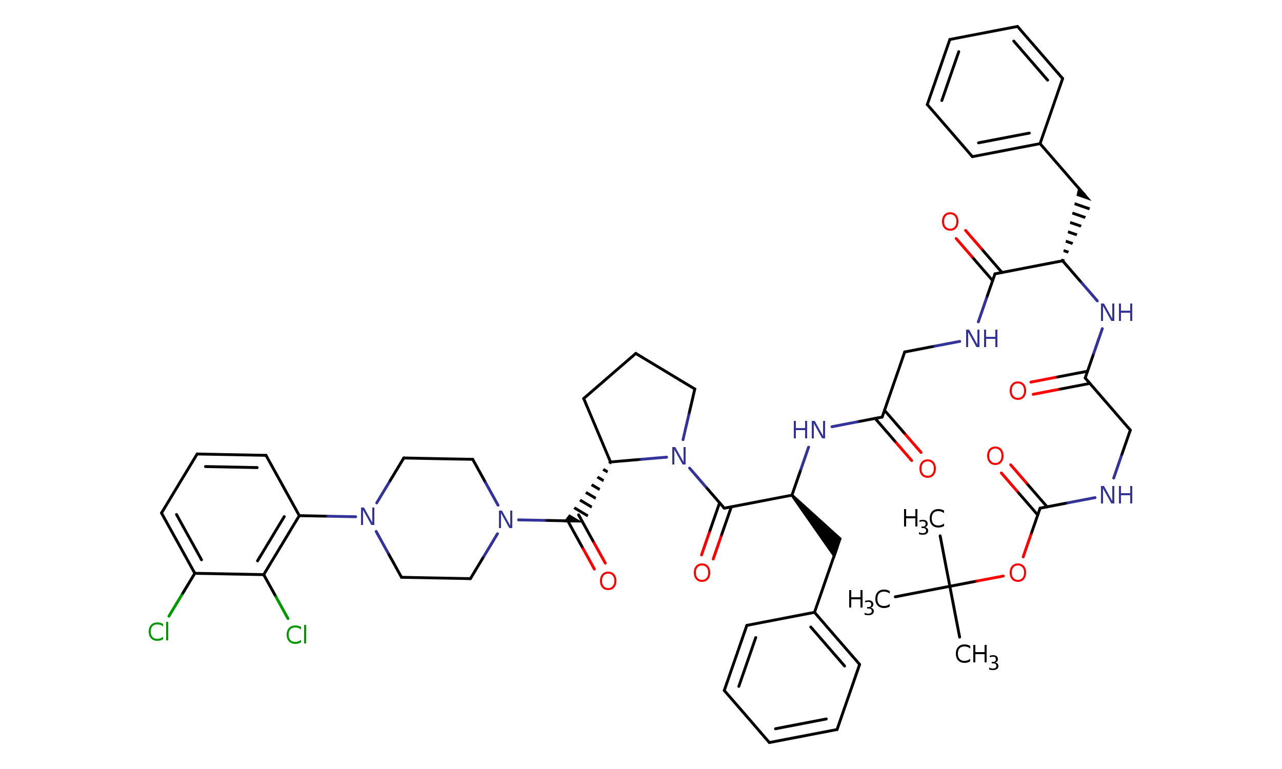
ConjuPepDB ID: cpd00649

Chemical structure


molecule
3D viewer Help Icon Use the buttons at the bottom of Jsmol viewer to see different representations, ON/OFF Hydrogens, and ON/OFF rotation.

3D model is for representation purpose only.

cpd00649


Schematic Help Icon Schematic representation of peptide, linker and drug in the peptide-drug conjugates
GFGFP 1-(2,3-Dichlorophenyl)piperazine
Identification
ConjuPepDB ID

cpd00649

Peptide information
Sequence (one letter)

GFGFP

Length

5

Peptide name

pentapeptide

External ID
CAS number

1355063-23-8

Other information
Application

Antimicrobial therapy, antifungal (Aspergillus and Fusarium)

Additional function

Improved activity, potential lead for antimicrobial agents

Conjugate type

amide

Linker

no

Small molecule

1-(2,3-Dichlorophenyl)piperazine

Small molecule CAS

41202-77-1

Small molecule structure

Structure method

1H NMR

NMR solvent

CDCl3

Citations
ID Title Year Authors Journal DOI

Cpdart0104

A New Family of Highly Potent Inhibitors of Microbes: Synthesis and Conjugation of Elastin Based Peptides to Piperazine Derivative

2012

Suhas, R.; Chandrashekar, S.; Gowda, D. Channe

International Journal of Peptide Research and Therapeutics

..