conjupepdb_log

View Conjugates details

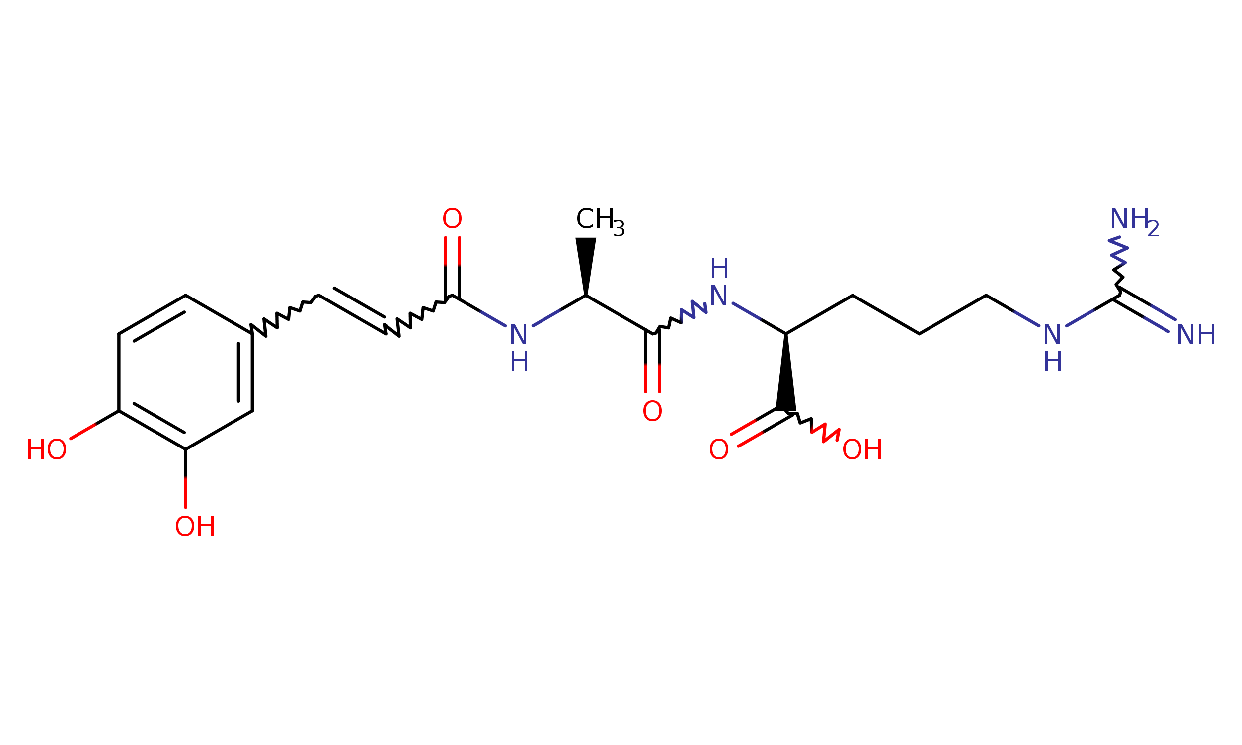
ConjuPepDB ID: cpd00627

Chemical structure


molecule
3D viewer Help Icon Use the buttons at the bottom of Jsmol viewer to see different representations, ON/OFF Hydrogens, and ON/OFF rotation.

3D model is for representation purpose only.

cpd00627


Schematic Help Icon Schematic representation of peptide, linker and drug in the peptide-drug conjugates
XAR Caffeic acid
Identification
ConjuPepDB ID

cpd00627

Smiles
Inchi Key

InChIKey=GJWIRYKPOXHCDZ-JQWIXIFHSA-N

Molecular weight

407.18

Molecular formula

C18H25N5O6

Chemical name
Peptide information
Sequence (one letter)

XAR

Length

3

Peptide name

melanocortin receptor 1 (MC1R) antagonist peptide

External ID
CAS number

1433981-77-1

Other information
Application

Synthesis, melanogenesis inhibition (melanocortin receptor 1 (MC1R) anatonists)

Additional function

Possible treatment for hyperpigmentation,

Conjugate type

amide

Linker

no

Small molecule

Caffeic acid

Small molecule CAS

331-39-5

Small molecule structure

Calculated properties
LogP

-2.15474

Rotatable bonds

10

H bond donor

7

H bond acceptor

9

Polar surface area (PSA)

200.36000

Citations
ID Title Year Authors Journal DOI

Cpdart0099

Synthesis of small molecule-peptide conjugates as potential whitening agents

2012

Lee, Hye-Suk; Shin, Kyong-Hoon; Ryu, Geun-Seok; Chi, Gyeong-Yup; Cho, In-Shik; Kim, Han-Young

Bulletin of the Korean Chemical Society

..