conjupepdb_log

View Conjugates details

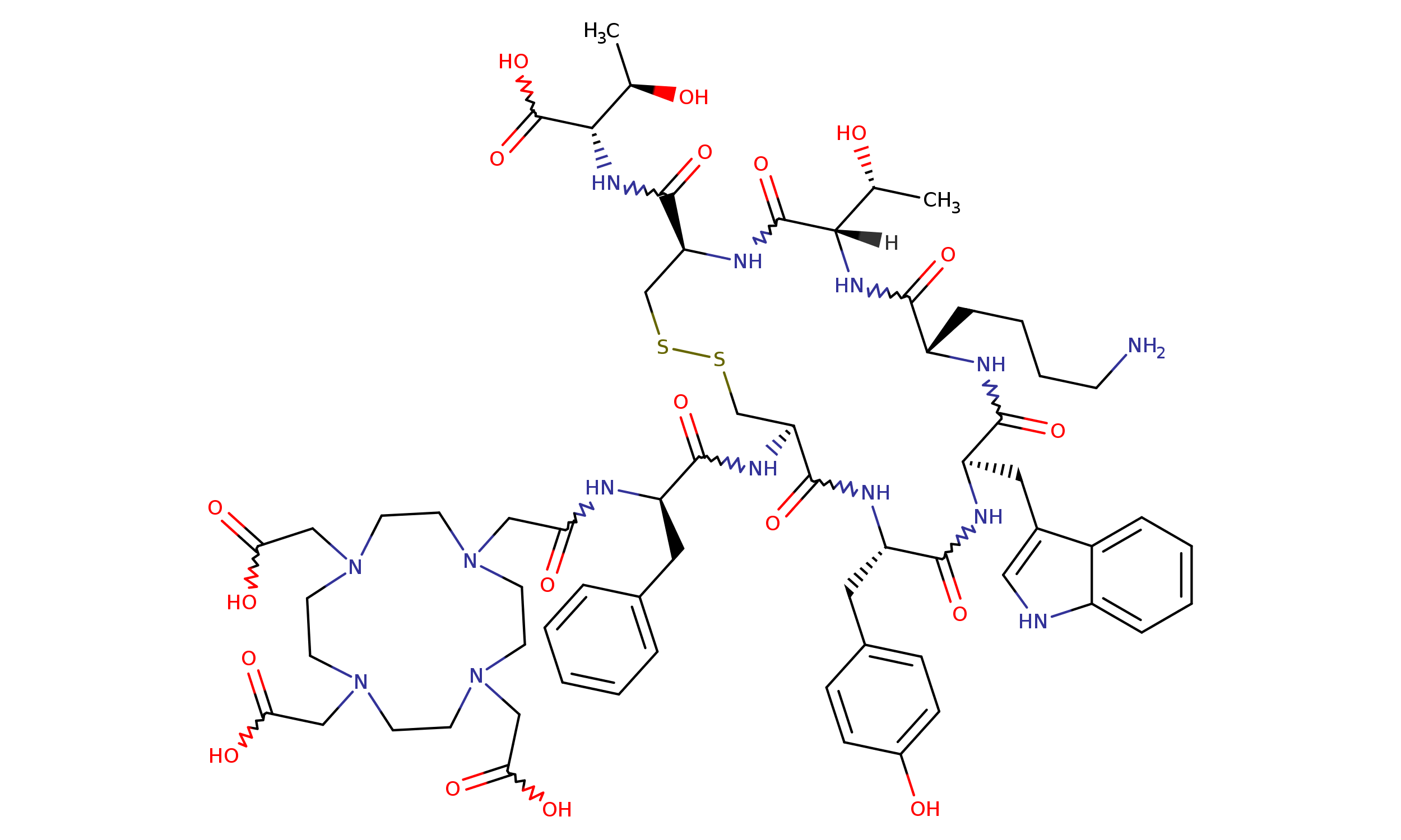
ConjuPepDB ID: cpd00607

Chemical structure


molecule
3D viewer Help Icon Use the buttons at the bottom of Jsmol viewer to see different representations, ON/OFF Hydrogens, and ON/OFF rotation.

3D model is for representation purpose only.

cpd00607


Schematic Help Icon Schematic representation of peptide, linker and drug in the peptide-drug conjugates
FCYWKTCT DOTA tri(tert-butyl) ester
Identification
ConjuPepDB ID

cpd00607

Smiles
Inchi Key

InChIKey=QVFLVLMYXXNJDT-CSBVGUNJSA-N

Molecular weight

1434.59

Molecular formula

C65H90N14O19S2

Chemical name
Peptide information
Sequence (one letter)

FCYWKTCT

Length

8

Peptide name

TATE

External ID
CAS number

177943-88-3

Other information
Application

Synthesis

Additional function

Bifunctional prochelator for the preparation of DOTA-peptide conjugates

Conjugate type

amine

Linker

no

Small molecule

DOTA tri(tert-butyl) ester

Small molecule CAS

137076-54-1

Small molecule structure

Structure method

1H- and 13C-NMR

NMR solvent

DMSO-d7

Calculated properties
LogP

-8.35190

Rotatable bonds

26

H bond donor

17

H bond acceptor

24

Polar surface area (PSA)

497.46000

Citations
ID Title Year Authors Journal DOI

Cpdart0097

DOTA-tris(OPp ester) as a bifunctional prochelator for the preparation of DOTA-peptide conjugates

2012

Jamous, Mazen; Haberkorn, Uwe; Mier, Walter

Tetrahedron Letters

..