conjupepdb_log

View Conjugates details

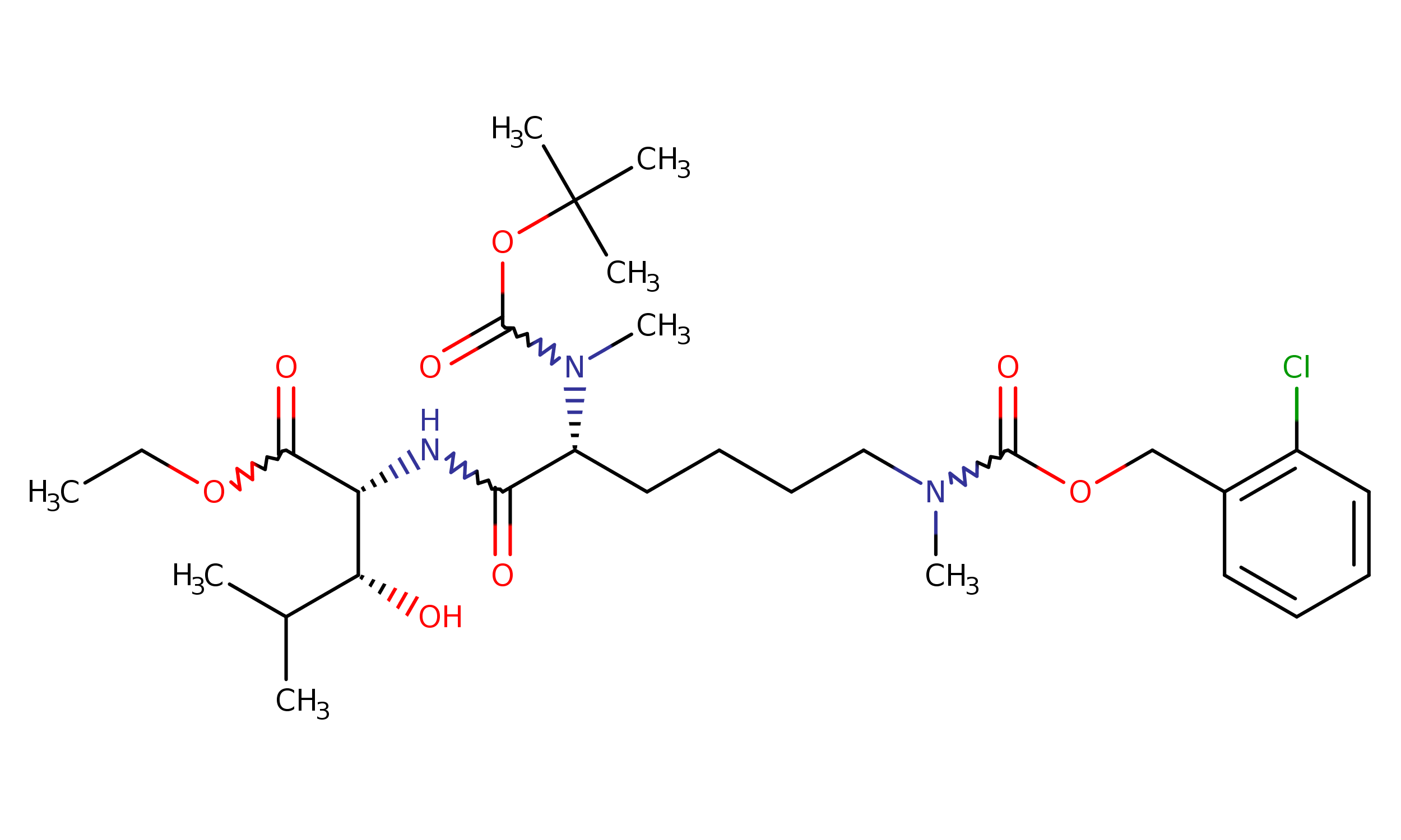
ConjuPepDB ID: cpd00437

Chemical structure


molecule
3D viewer Help Icon Use the buttons at the bottom of Jsmol viewer to see different representations, ON/OFF Hydrogens, and ON/OFF rotation.

3D model is for representation purpose only.

cpd00437


Schematic Help Icon Schematic representation of peptide, linker and drug in the peptide-drug conjugates
XKT 2-chloro-1-(N-methylcarbamate)-benzenemethanol
Identification
ConjuPepDB ID

cpd00437

Smiles
Inchi Key

InChIKey=QAMSQIPWVOJVIZ-WXFUMESZSA-N

Molecular weight

599.297

Molecular formula

C29H46ClN3O8

Chemical name
Peptide information
Sequence (one letter)

XKT

Length

3

Peptide name

dipeptide

External ID
CAS number

1620659-44-0

Other information
Application

Synthesis, molecular probes

Additional function

Fat-accumulation inhibition

Pharmacological class

other

Conjugate type

carbamate

Linker

no

Small molecule

2-chloro-1-(N-methylcarbamate)-benzenemethanol

Small molecule CAS

2797-35-5

Small molecule structure

Calculated properties
LogP

4.21884

Rotatable bonds

18

H bond donor

2

H bond acceptor

5

Polar surface area (PSA)

134.71000

Citations
ID Title Year Authors Journal DOI

Cpdart0074

Design, synthesis, and evaluation of derivatives of the fat-accumulation inhibitor ternatin: toward ternatin molecular probes

2014

Kawazoe, Yoshinori; Tanaka, Yoko; Omura, Sachikazu; Uemura, Daisuke

Tetrahedron Letters

..