conjupepdb_log

View Conjugates details

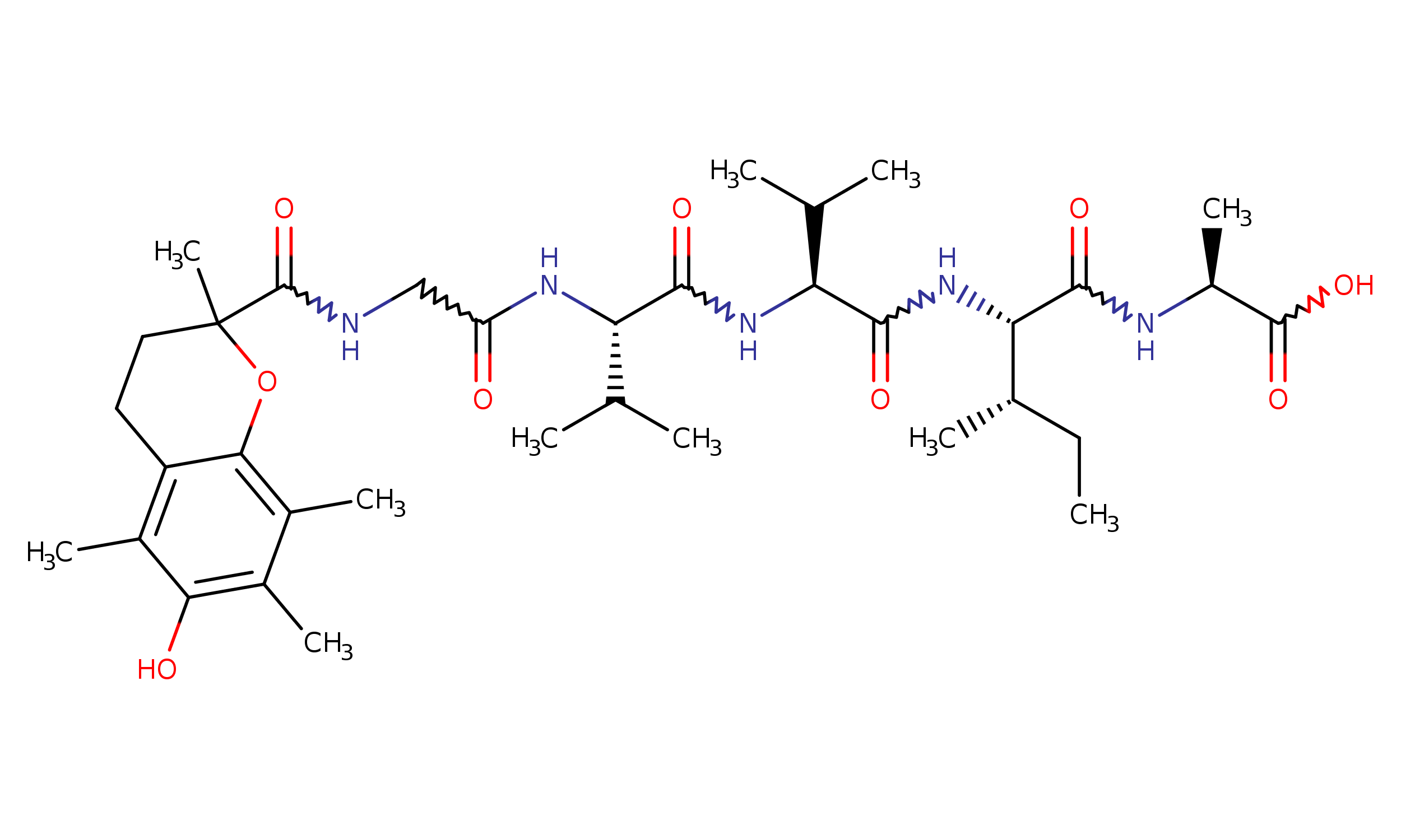
ConjuPepDB ID: cpd00190

Chemical structure


molecule
3D viewer Help Icon Use the buttons at the bottom of Jsmol viewer to see different representations, ON/OFF Hydrogens, and ON/OFF rotation.

3D model is for representation purpose only.

cpd00190


Schematic Help Icon Schematic representation of peptide, linker and drug in the peptide-drug conjugates
GVVIA Trolox
Identification
ConjuPepDB ID

cpd00190

Smiles
Inchi Key

InChIKey=YUQHXVFGBLSIRH-AEIDQWRKSA-N

Molecular weight

689.4

Molecular formula

C35H55N5O9

Chemical name
Peptide information
Sequence (one letter)

GVVIA

Length

5

Peptide name

amyloid-beta C-terminal motif

External ID
CAS number

1972631-84-7

Other information
Application

Alzheimer’s disease therapy, anti-aggregation and antioxidant

Pharmacological class

neurological

Conjugate type

amide

Linker

no

Small molecule

Trolox

Small molecule CAS

53188-07-01

Calculated properties
LogP

3.51513

Rotatable bonds

15

H bond donor

7

H bond acceptor

9

Polar surface area (PSA)

212.26000

Citations
ID Title Year Authors Journal DOI

Cpdart0042

Design, synthesis, and evaluation of Trolox-conjugated amyloid-β C-terminal peptides for therapeutic intervention in an in vitro model of Alzheimer’s disease

2016

Arai, Takuya; Ohno, Akiko; Kazunori, Mori; Kakizawa, Taeko; Kuwata, Hiroshi; Ozawa, Toshihiko; Shibanuma, Motoko; Hara, Shuntaro; Ishida, Seiichi; Kurihara, Masaaki; Miyata, Naoki; Nakagawa, Hidehiko; Fukuhara, Kiyoshi

Bioorganic & Medicinal Chemistry

..