conjupepdb_log

View Conjugates details

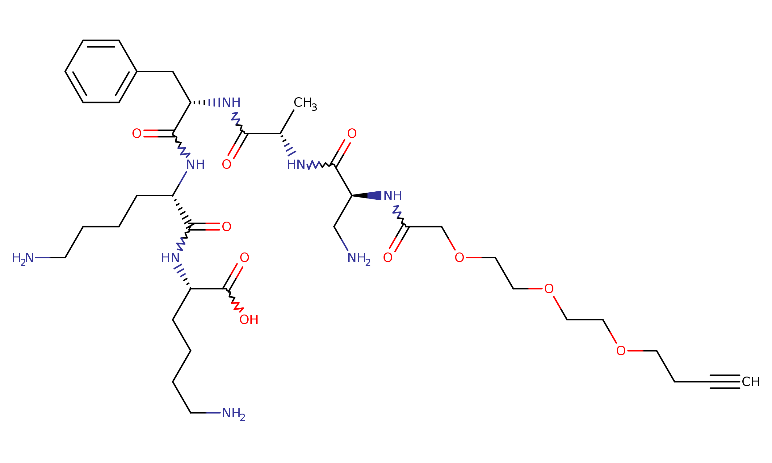
ConjuPepDB ID: cpd00152

Chemical structure


molecule
3D viewer Help Icon Use the buttons at the bottom of Jsmol viewer to see different representations, ON/OFF Hydrogens, and ON/OFF rotation.

3D model is for representation purpose only.

cpd00152


Schematic Help Icon Schematic representation of peptide, linker and drug in the peptide-drug conjugates
XAFKK 4-Pentynoic acid
Identification
ConjuPepDB ID

cpd00152

Smiles
Inchi Key

InChIKey=VHEWMLSMBJLHBI-PZBSVLGOSA-N

Molecular weight

776.443

Molecular formula

C37H60N8O10

Chemical name
Peptide information
Sequence (one letter)

XAFKK

Length

5

Peptide name

autoinducing peptide (AIP)

External ID
CAS number

2093165-91-2

Other information
Application

Antimicrobial therapy, antibacterial (Staphylococcus aureus)

Additional function

Fluorophore and cytotoxic photosensitizer conjugations

Pharmacological class

antimicrobial, antibacterial

Conjugate type

amide

Linker

no

Small molecule

4-Pentynoic acid

Small molecule CAS

6089-09-04

Calculated properties
LogP

-5.01150

Rotatable bonds

31

H bond donor

9

H bond acceptor

13

Polar surface area (PSA)

288.55000

Citations
ID Title Year Authors Journal DOI

Cpdart0037

Truncated Autoinducing Peptide Conjugates Selectively Recognize and Kill Staphylococcus aureus

2017

Tsuchikama, Kyoji; Shimamoto, Yasuhiro; Anami, Yasuaki

ACS Infectious Diseases

..