conjupepdb_log

View Conjugates details

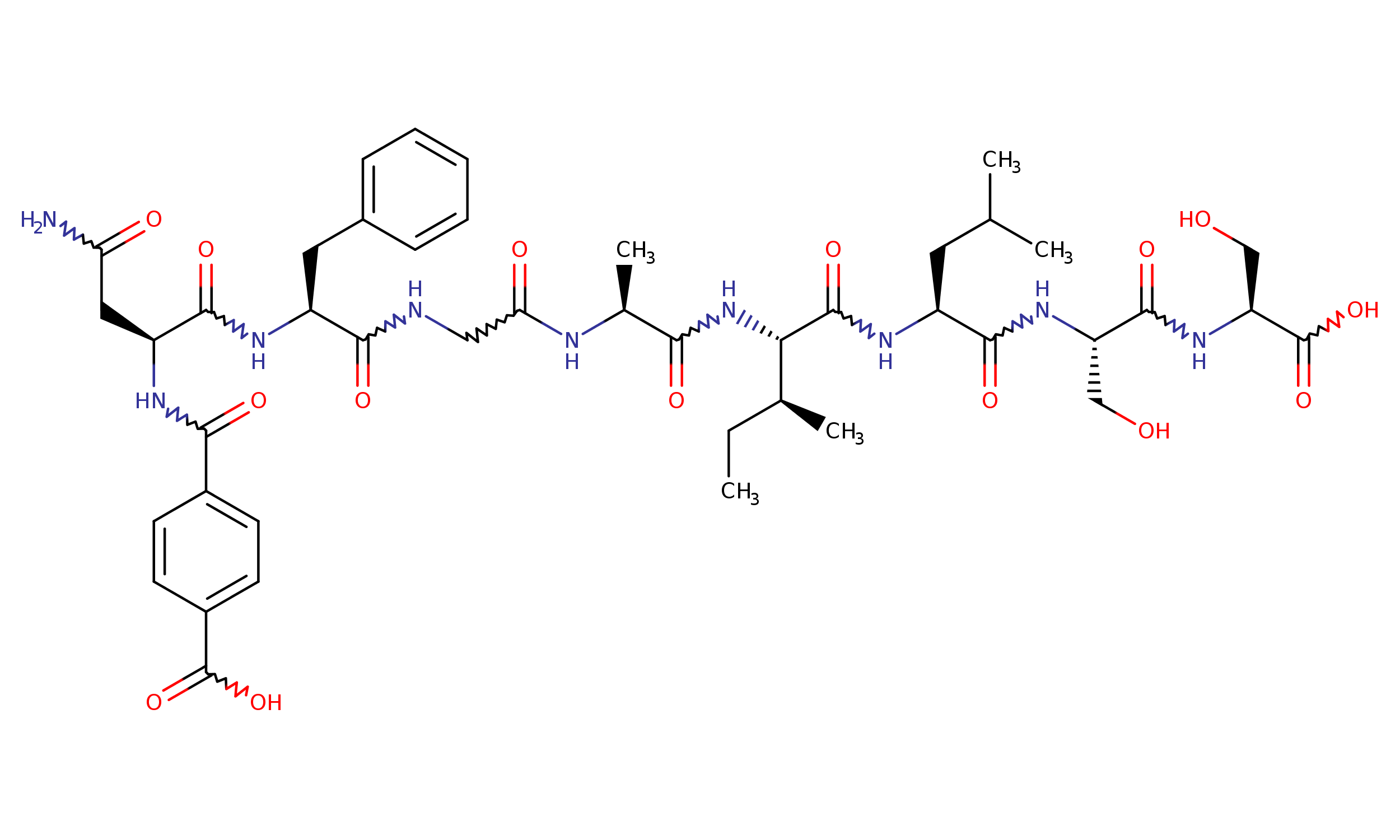
ConjuPepDB ID: cpd00148

Chemical structure


molecule
3D viewer Help Icon Use the buttons at the bottom of Jsmol viewer to see different representations, ON/OFF Hydrogens, and ON/OFF rotation.

3D model is for representation purpose only.

cpd00148


Schematic Help Icon Schematic representation of peptide, linker and drug in the peptide-drug conjugates
NFGAILSS Terephthalic acid
Identification
ConjuPepDB ID

cpd00148

Smiles
Inchi Key

InChIKey=HQABXSUUYNEMAB-PCTRPPDASA-N

Molecular weight

955.429

Molecular formula

C44H61N9O15

Chemical name
Peptide information
Sequence (one letter)

NFGAILSS

Length

8

Peptide name

amyloid disrupting peptide

External ID
CAS number

2130904-37-7

Other information
Application

Type 2 diabetes therapy, amylin aggregation inhibition

Additional function

Self-assembly

Pharmacological class

neurological

Conjugate type

amide

Linker

no

Small molecule

Terephthalic acid

Small molecule CAS

100-21-0

Small molecule structure

Calculated properties
LogP

-2.87258

Rotatable bonds

28

H bond donor

13

H bond acceptor

15

Polar surface area (PSA)

390.95000

Citations
ID Title Year Authors Journal DOI

Cpdart0036

Peptide Conjugates of Benzene Carboxylic Acids as Agonists and Antagonists of Amylin Aggregation

2017

Profit, Adam A.; Vedad, Jayson; Desamero, Ruel Z. B.

Bioconjugate Chemistry

..