conjupepdb_log

View Conjugates details

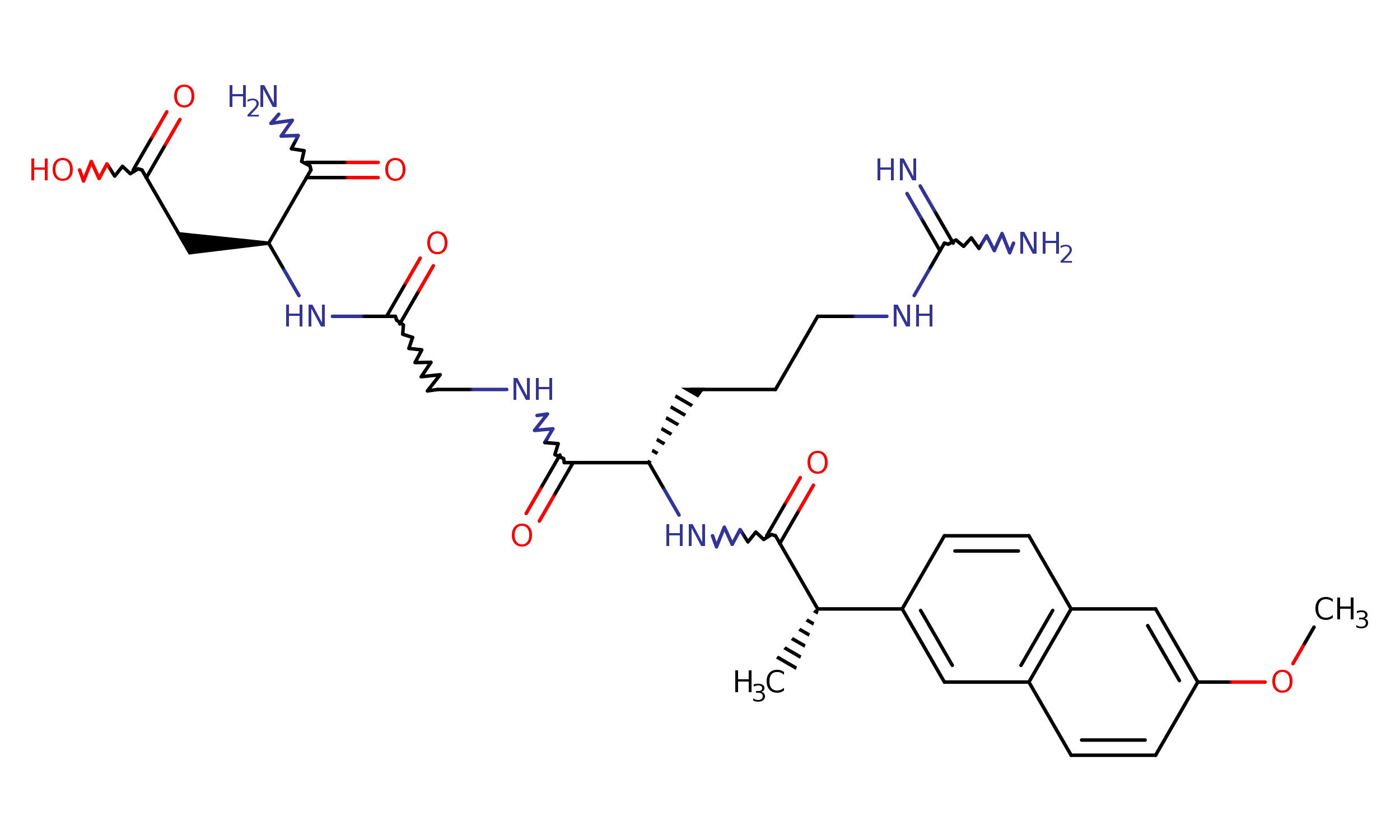
ConjuPepDB ID: cpd00022

Chemical structure


molecule
3D viewer Help Icon Use the buttons at the bottom of Jsmol viewer to see different representations, ON/OFF Hydrogens, and ON/OFF rotation.

3D model is for representation purpose only.

cpd00022


Schematic Help Icon Schematic representation of peptide, linker and drug in the peptide-drug conjugates
XRGD no Naproxen
Identification
ConjuPepDB ID

cpd00022

Smiles
Inchi Key

InChIKey=QIRKSNVSQDARFI-GKCIPKSASA-N

Molecular weight

557.26

Molecular formula

C26H35N7O7

Chemical name
Peptide information
Sequence (one letter)

XRGD

Length

4

Peptide name

Linear arginine‐glycine‐aspartic acid (RGD)

External ID
CAS number

2375589-05-0

Other information
Application

Anticancer therapy, MCF?7, A2780,, OVCAR3, HT-1-80 and SKOV?3 cells

Additional function

Targeting (with NSAID-peptides) and improve binding

Pharmacological class

anticancer

Conjugate type

amide

Linker

N/A

Linker Type

no

Small molecule

Naproxen

Small molecule CAS

22204-53-1

Small molecule structure

Structure method

NMR

NMR solvent

DMSO-d6

Calculated properties
LogP

-3.25058

Rotatable bonds

15

H bond donor

7

H bond acceptor

10

Polar surface area (PSA)

241.32000

Citations
ID Title Year Authors Journal DOI

cpdart0027

Design, synthesis and biological evaluation of peptide-NSAID conjugates for targeted cancer therapy

2019

Shokri, Bahareh; Zarghi, Afshin; Shahhoseini, Soraya; Mohammadi, Reza; Kobarfard, Farzad

Archiv der Pharmazie

..